Strategy

Notation

Rules
- lim k = k, for any constant a -> k
- lim x = a x -> a
- lim[f(x) g(x)] = lim f(x) lim g(x) x -> a x -> a x -> a
- lim[cf(x)] = c [limf(x)], for any constant c x -> a x -> a
- lim[f(x)g(x)] = [lim f(x)][lim g(x)] x -> a x -> a x -> a
- lim = provided that lim g(x) 0 x -> a x -> a
- lim[f(x)] = [lim f(x)], for any number n x -> a x -> a
Methods
- Direct Substitution Limit
- Factoring Method Limit
- Multiplying by the Conjugate
- Change of Variable Method
Notation and meaning
x -> 1 = Approaching 1 from the right x -> 1 = Approaching 1 from the left lim = limit of f(x), as approaches c equals L
lim f(x) = 4 x -> 1
As x approaches 1 from left and right it equals 4
Conditions
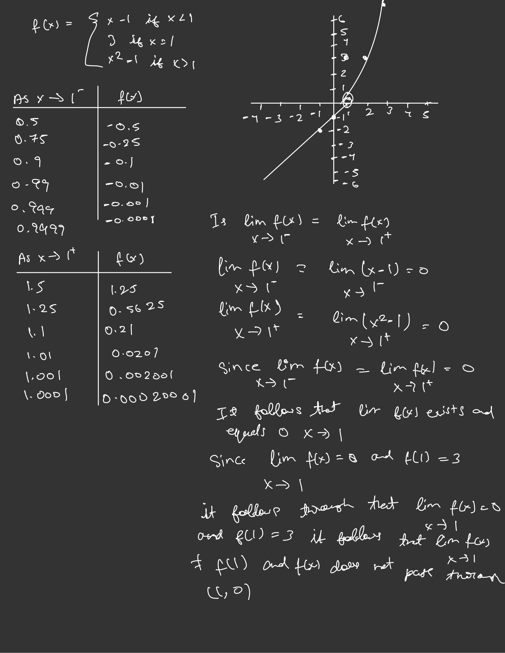
If lim f(x) = lim f(x) then limit exists and we write x -> 1 x -> 1 lim f(x) = 4 x -> 1
Limit may exist even if the point is undefined (eg: If f(3) = undefined a limit may still exist as we are x -> 3 and x -> 3)
We are talking about the values that f(x) takes when x gets closer and closer to 1 and not f(1). In fact, we may talk about the limit of f(x) as x approaches “a” even when f(x) is undefined,
Book definition

Example
