Ayush Garg

Search

SearchSearch
  • Rule
  • Example

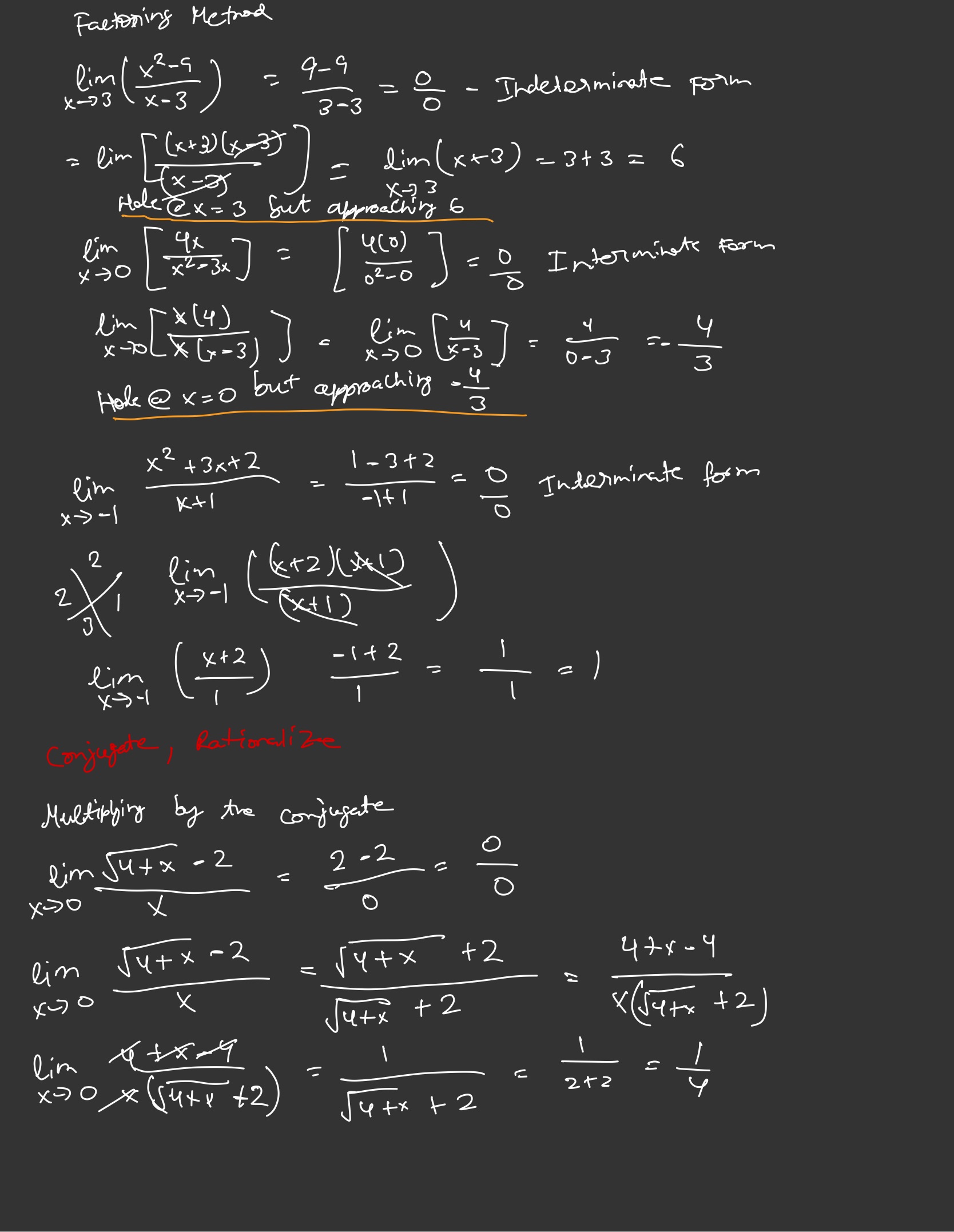
Factoring Method Limit

Last modified Aug 29, 2023

Rule §

  • Use Direct Substitution Limit method first and only use this if / after Indeterminate Form is returned
  • Factor what’s factorable and eliminate
  • Use Direct Substitution Limit method again to check what’s being approached

Example §

Graph View

Try to use your cursor to browse the graph!

Backlinks

  • Change of Var Method
  • Limits

Created by Ayush Garg using Quartz, © 2023

  • GitHub
  • Linkedin
  • Blog
  • Twitter