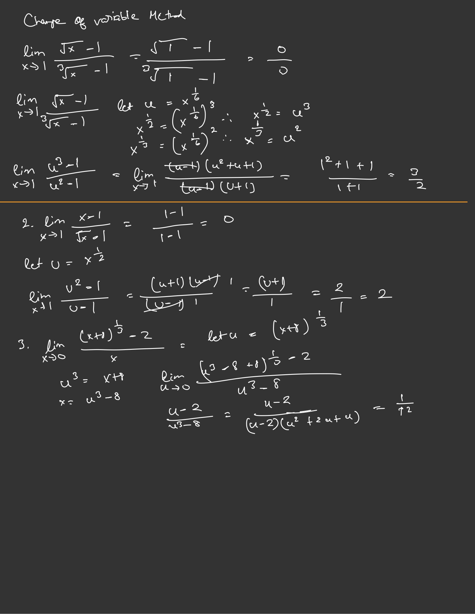
Rule
- Use Direct Substitution Limit method first and only use this if / after Indeterminate Form is returned
- Define a variable that makes the equation simpler to solve
- Factor using the Factoring Method Limit
- Use Direct Substitution Limit again to check what’s being approached
Example
