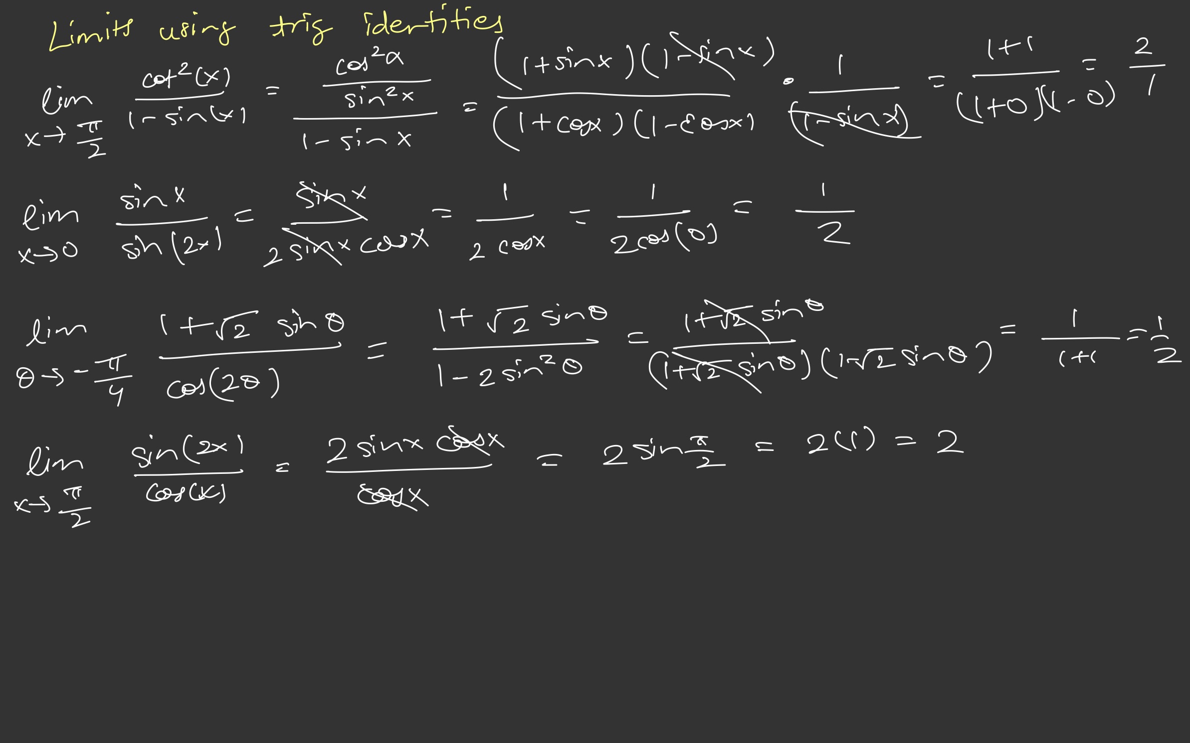
Refer to Trigonometry Identities to solve these problems
Example (Pythagorean Identity)
lim = = = , 0 -> 0
lim = = -> 0
Example (Double Angle Identity)
lim = = , -> -
lim = = -> **
Worked Examples

Refer to Trigonometry Identities to solve these problems
lim = = = , 0 -> 0
lim = = -> 0
lim = = , -> -
lim = = -> **
