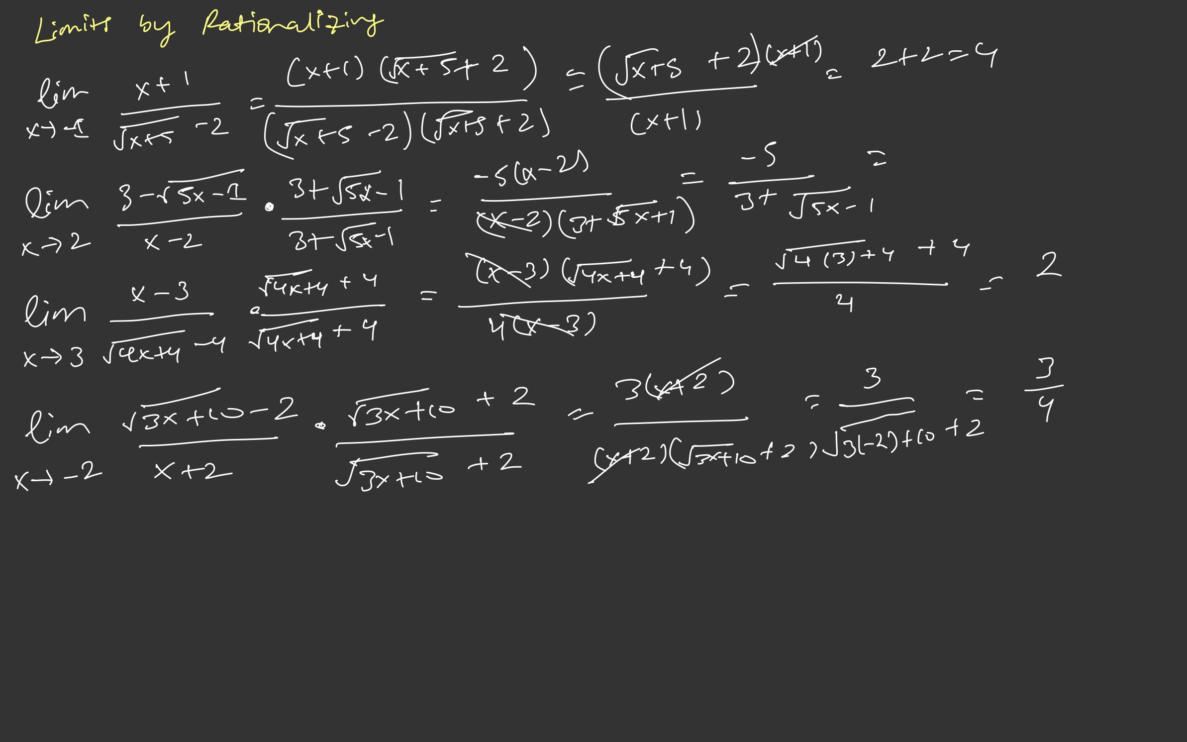
Example
g(x) =
To rationalize this you would multiply the numerator and denominator by
+ 2
Resulting in: = + 2
lim + 2 = 4 x -> -1
Solved Examples

g(x) =
To rationalize this you would multiply the numerator and denominator by
+ 2
Resulting in: = + 2
lim + 2 = 4 x -> -1
