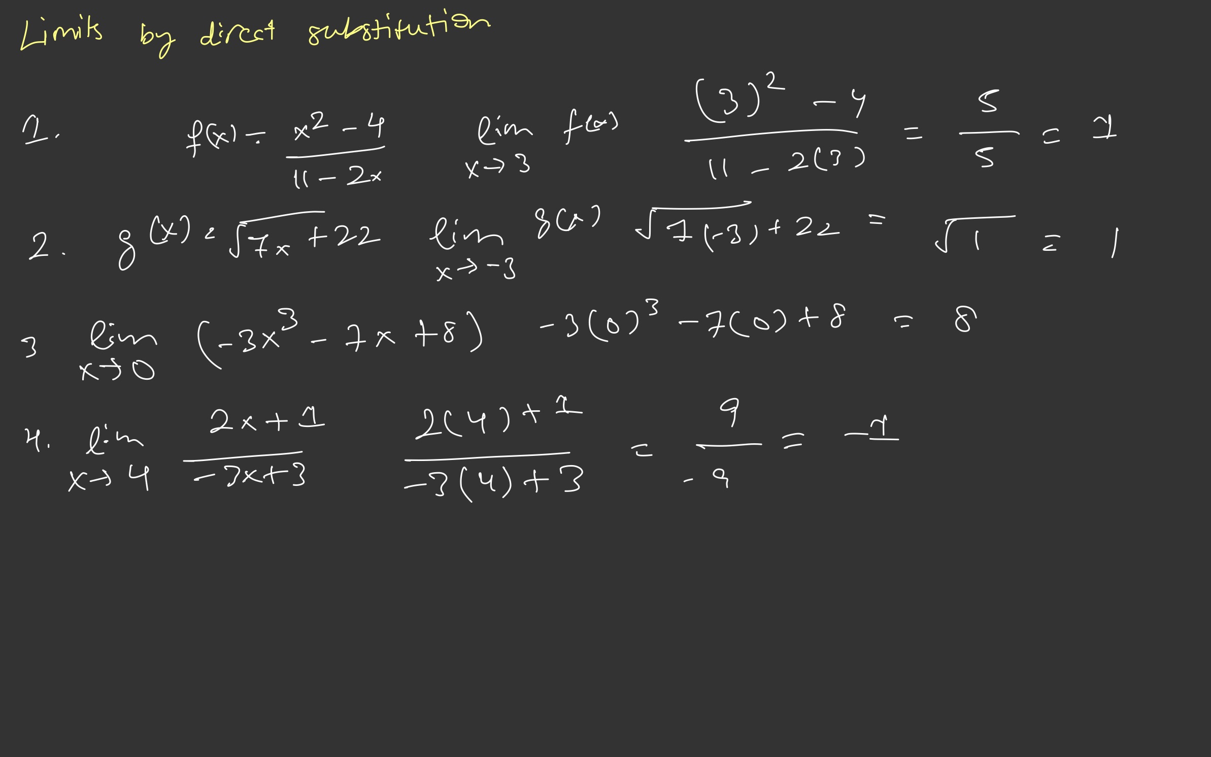
Directly substitute what you are approaching as the value of x
Requirement for this method
You can check if you can calculate the limit using the direct substitution method by doing this
lim f(x) = f(a) x -> a
If this statement is true then the direct substitution method is applicable
Example

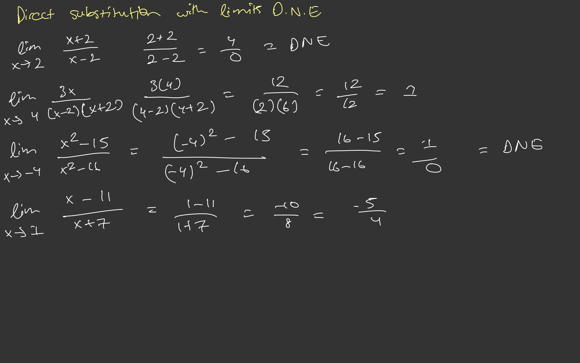
Exception
If after evaluating the limit the answer is undefined (not as that’s Indeterminate Form) then that means the limit does not exist
